附3:
单位载质量能量消耗量评价指标说明
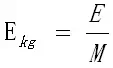
为更科学地评价纯电动客车技术水平,特提出“单位载质量电能消耗量(Ekg)”指标,单位Wh/km·kg,四舍五入至小数点后两位。计算公式如下:
E表示电能消耗率,试验检测项。电动汽车GB/T 18386《电动汽车能量消耗率和续驶里程试验方法》试验中消耗的电能除以行驶里程所得的值,单位Wh/km;
M表示附加质量,车辆基本参数。GB/T 18386检测试验中的所需附加质量,单位kg,具体计算如下:
1.最大允许装载质量小于或等于180kg,附加质量=最大允许装载质量;
2.最大允许装载质量大于180kg,但小于360kg,附加质量=180kg;
3.最大允许装载质量大于或等于360kg,附加质量=1/2最大允许装载质量。
注:按GB/T 3730.2《道路车辆 质量 词汇和代码》中定义:
最大允许装载质量=最大允许总质量-整车整备质量。

